NEWS
新闻资讯
|
Mol Plant综述 | 一文了解植物染色质重塑研究现状:复合物组成、机制多样性与生物学功能染色质重塑复合体是真核生物中调控染色质结构的关键因子,负责调控转录、DNA修复和基因组稳定性。与酵母和动物中的染色质重塑因子相比,植物染色质重塑因子既具有保守特征,又具备物种特异性,这为植物适应环境变化提供了独特优势。通过生物化学、表观基因组学和蛋白质组学等前沿技术手段,科学家们揭示了植物染色质重塑机制的全新奥秘,遗传学研究也持续证实这些复合体在植物生长和应激适应过程中维持染色质稳态的关键作用。 2025年9月1日,植物领域Top期刊Molecular Plant刊登了中山大学联合北京生命科学研究所的综述文章《Chromatin remodeling in plants: Complex composition, mechanistic diversity, and biological functions》,其系统梳理了当前对植物染色质重塑复合体的研究成果,重点探讨其特异性亚基组成、机制多样性及在表观遗传调控中的整合功能。此外,文章还揭示了这些复合体如何与组蛋白修饰、DNA甲基化通路及转录因子网络相互作用,共同协调植物发育与应激响应。
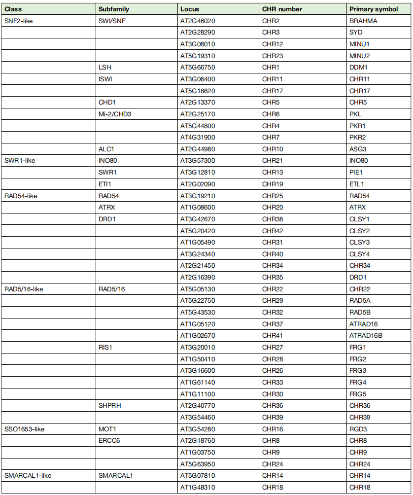
染色质组织的调控是一个复杂而精密的过程,主要通过DNA甲基化、组蛋白翻译后修饰、非编码RNA以及染色质重塑等机制实现。虽然DNA甲基化和组蛋白修饰会改变染色质的化学组成,但染色质重塑直接调控着核小体在染色质中的位置和组成。作为染色质调控的核心要素,染色质重塑因子协调着转录调控、DNA复制动态、DNA损伤响应、组蛋白变体动态交换等关键过程,并负责建立和维持组蛋白修饰及DNA甲基化图谱。 染色质重塑是一种依赖ATP的过程,由能够改变组蛋白–DNA连接的酶介导。这些酶被称为染色质重塑因子,它们利用ATP水解所产生的能量来调节组蛋白–DNA相互作用,并通过核小体的组装、滑移、驱逐以及组蛋白变体的并入来调控DNA的可及性。 在真核生物中,大多数染色质重塑因子在称为染色质重塑复合物的庞大多亚基蛋白组装体中发挥作用,尽管其中一些复合物尚未被完全表征。所有重塑因子都具有一个ATPase结构域,并属于ATP依赖型解旋酶超家族2(SF2)。在SF2超家族中,与酵母的Snf2p类解旋酶样结构域具有序列相似性的蛋白质构成SNF2家族。基于序列同源性,这些SNF2家族酶被归为六个主要类别(SNF2-like、SWR1-like、RAD54-like、RAD5/16-like、SSO1653-like和SMARCAL1-like),共涵盖24个亚家族。拟南芥拥有41个SNF2蛋白,被分类至上述6个类别中,包含了24个亚家族中的18个代表(表 1)。
研究最为广泛的SNF2家族染色质重塑因子包括SWI/SNF、ISWI、CHD、INO80以及SWR1这几个亚家族。其中,SWI/SNF、ISWI和CHD被归类为SNF2-like类别,而INO80和SWR1则归入SWR1-like类别。尽管这些重塑因子具有显著的相似性,包括保守的ATPase结构域(由ATP结合的DExDc区和解旋酶区组成),但它们在辅助结构域上存在差异(图 1)。SWI/SNF重塑因子通常含有HSA结构域和溴结构域;ISWI重塑因子的特征是具有SANT与SLIDE结构域;CHD重塑因子具有串联的色氨酸结构域;而INO80和SWR1重塑因子各自都含有带有长插入的分裂型ATPase结构域。
图1:SWI/ SNF、ISWI、CHD、INO80和SWR1染色质重塑ATP酶的结构域结构。 不同亚家族的染色质重塑复合体具有独特的功能特征。
此外,若干SNF2家族的染色质重塑因子在植物中调控DNA甲基化和转录沉默。值得注意的是,尽管这些与DNA甲基化相关的染色质重塑因子已在植物中被鉴定,但其染色质重塑活性如何促进DNA甲基化的分子机制仍有待进一步研究。 近年来,植物染色质重塑复合物亚基组成的研究取得了显著进展。植物中的SWI/SNF、ISWI、INO80和SWR1复合物已被成功分离,其组分组成也得到明确阐明。此外,还鉴定出了大量植物特有的亚复合物或亚基。 在拟南芥中,SWI/SNF亚家族包含四个ATPase染色质重塑因子:BRM、SYD、MINU1和MINU2。BRM含有与酵母和哺乳动物同源蛋白相似的保守结构域,而SYD和MINU1/2则呈现植物特有的结构域组织。最初,植物中SWI/SNF复合体的核心亚基是基于序列相似性进行预测,并通过正向或反向遗传学分析加以表征的。 然而,植物SWI/SNF复合体的完整组成长期不清楚,直到近期的两项研究。通过免疫沉淀–质谱分析,这些研究鉴定了拟南芥中SWI/SNF复合体的全部亚基,并证明这四个ATPase组装成三种不同的亚复合体:BAS、SAS和MAS(图 2A)。有趣的是,最新研究报道BAS亚复合体还可以进一步分为两个变体:BAS-A(包含SWP73A)和BAS-B(包含SWP73B)。它们表现出功能上的差异,这从其不同的染色质结合模式以及对植物激素生物合成与代谢的不同影响中得到证明。
图2:植物中SWI/ SNF、ISWI、INO80和SWR1染色质重塑复合物的亚基组成。 与哺乳动物的SWI/SNF复合物相比,已经鉴定出若干植物特有的特征。首先,与哺乳动物中不同SWI/SNF亚复合物共享ATP酶不同,植物的SWI/SNF亚复合物使用不可互换的ATP酶。其次,尽管植物的BAS亚复合物与哺乳动物的ncBAF共享相同的旁系同源亚基,因此与之等同,但SAS和MAS亚复合物缺乏哺乳动物SWI/SNF复合物的标志性亚基(SMARCB和SMARCE),同时进化出了多个植物特异的亚基(SAS中的SYS1/2/3,以及MAS中的SHH2、PSA1和PSA2)。这表明SAS和MAS代表植物特异的SWI/SNF复合物。 ISWI亚家族重塑因子最初从果蝇中被纯化。在拟南芥中,存在两种ISWI重塑因子:CHR11和CHR17。研究发现,DDT结构域(DNA结合同源盒及不同转录因子结构域)蛋白是植物ISWI复合物的组成部分。拟南芥中12个DDT结构域蛋白被分为5类:I类包括RLT1、RLT2和RLT3;II类包括DDW1;III类包括DDP1、DDP2和DDP3;IV类包括DDR4和DDR5;V类包括DDR1、DDR2和DDR3。 不同的DDT蛋白与CHR11/17形成三种类型的ISWI亚复合物:CRAF、CDM和CDD(图 2B)。I类DDT蛋白RLT1和RLT2与ARID5和FHA2共纯化,形成CRAF复合物;MSI3(IRA多拷抑制子3)是含有DDP1/2/3的CDM复合物的一个亚基;而在包含DDR1/3/4/5和DDW1的ISWI复合物中尚未鉴定到其他亚基,这些复合物统称为CDD(图 2B)。尽管MSI3是一个保守亚基,其同源物已在果蝇和哺乳动物的ISWI复合物中被发现,但ARID5和FHA2则是植物特有的。这些发现表明,CHR11/17在植物中可能具有特化功能,潜在地通过与ARID5和FHA2的相互作用来介导。 CHD染色质重塑因子因其具有特征性的染色质结构域、解旋酶结构域以及一个类似DNA结合结构域序列的基序而得名。基于结构和功能的保守性,高等真核生物的CHD染色质重塑因子进一步被分为三个亚家族:CHD1、Mi-2/CHD3和CHD7亚家族。 在植物中,CHD1亚家族仅由一个成员代表:拟南芥中的CHR5和水稻中的CHR705,它们均具有保守的串联染色体结构域。拟南芥的CHD3亚家族包含三个成员:PKL、PKR1和PKR2。类似地,水稻也编码三个CHD3成员:CHR702、CHR729和CHR703。在拟南芥中,已有研究提出PKL主要以单体形式存在。体外实验显示,PKL能将位于末端的单核小体移动到中心位置,并催化前核小体的成熟,表明PKL本身即可催化ATP依赖的染色质重塑。然而,PKL是单独发挥作用还是作为复合物的一部分,仍有待实验验证。 与其他重塑因子不同,INO80和SWR1含有带有长插入序列的分裂型ATPase结构域;因此,它们统称为INO80/SWR1亚家族。在哺乳动物中,SWR1具有两个同源蛋白,SRCAP和P400;因此,INO80/SWR1家族由三个成员组成:INO80、SRCAP和P400,每个成员都形成一个多亚基复合物。哺乳动物INO80复合物以核心ATPase蛋白INO80作为支架蛋白来组装多亚基复合物,其组织成三个模块:ATPase模块、HSA模块和非保守的N端结构域(NTD)模块。 拟南芥INO80复合物由20个亚基组成。与动物类似,与HSA和ATPase结构域相互作用的进化保守亚基对INO80的ATPase活性至关重要,而与NTD结构域相关的大多数植物特异性亚基对其酶活性则并非必需。值得注意的是,拟南芥中一种特化的III类COMPASS复合物,包含组蛋白甲基转移酶 ATX4/5和去甲基化酶JMJ24,作为INO80复合物的植物特异性单元定位于NTD模块(图 2C)。 在拟南芥中,SWR1复合体由一个ATPase、PIE1以及若干进化上保守的亚基(图2D)构成,同时还包含植物特异性亚基,如TRA1A/B、MBD9和 CHR11/17(CHR11/17也作为ISWI复合体的ATPase 亚基)(图2D)。在酵母中,Tra1是两个组蛋白乙酰转移酶复合体SAGA和NuA4(组蛋白H4核小体乙酰转移酶)的亚基。然而,在拟南芥中,TRA1A和TRA1B不仅被SAGA和NuA4复合体共享,还作为SWR1复合体的组成部分。值得注意的是,在植物和哺乳动物中,ARP4是SWR1和INO80复合体的共享组分。在植物中,ARP4还存在于SWI/SNF复合体和NuA4复合体中,这表明ARP4可能在组蛋白变体交换、核小体排列以及染色质可及性调控中发挥关键作用。INO80和SWR1复合体对RIN1/2(抗假单胞菌番茄致病变种maculicola相互作用因子1/2)的共享利用在植物、酵母和后生动物中进化保守。然而,这些共享亚基在不同重塑复合体中承担相似还是不同的功能仍有待阐明。 除染色质重塑外,DNA甲基化、组蛋白修饰和非编码RNA等过程共同调控染色质动态。染色质重塑复合物通过改变染色质结构,提升DNA甲基转移酶和组蛋白修饰酶对其底物的可及性,从而促进位点特异性的修饰。相反,组蛋白修饰酶则通过位点特异性的表观遗传标记促进染色质重塑因子的招募,进而引发进一步的染色质结构变化。这种相互作用建立了一个调控性反馈回路,通过染色质重塑与表观遗传修饰的协同效应,实现对基因表达状态的协调调控。 大量研究表明,组蛋白修饰与植物中染色质重塑因子的定向与调控密切相关(图3)。一方面,染色质重塑复合体包含能够识别特定组蛋白修饰的亚基。另一方面,染色质修饰酶和/或复合体在功能上与染色质重塑因子协同作用——这种协作对于受环境信号调控的基因尤为关键。在拟南芥SWI/SNF亚家族中,BAS亚复合体中的BRD1、BRD2和BRD13亚基所含溴结构域可识别乙酰化的H3和H4组蛋白,促进BAS活性在染色质上的定向(图3A)。体外分析显示,在MAS亚复合体中,BRD5与H4K5ac结合,而TPF1识别H3K4me3(图3A)。然而,SAS亚复合体中的亚基缺乏组蛋白修饰读取结构域。此外,作为H3K4me3阅读器的AL蛋白仅与BAS和MAS亚复合体特异性互作,而不与SAS亚复合体互作。这些观察结果与其不同的基因组结合偏好和功能相一致:BAS和MAS主要促进转录起始位点上下游的染色质可及性,这些区域以组蛋白乙酰化和H3K4me3为标记;而SAS则介导远端启动子和缺乏上述修饰的基因间区的可及性。SAS亚复合体在基因组上的定向依赖于转录延伸因子SPT6L。有趣的是,当SAS缺失时,观察到BAS在转录起始位点附近的占据发生了显著偏移,尽管其生物学意义尚未被阐明。
图3:染色质重塑与组蛋白修饰之间的关系。 除识别特定组蛋白修饰外,植物SWI/SNF还可在靶位点与组蛋白修饰酶协同或拮抗作用(图 3B)。在BAS亚复合物中,BRM ATP酶与组蛋白去乙酰化酶HDA6相互作用,降低LPRs 5′ UTR 处的组蛋白H3乙酰化水平,从而抑制其转录。组蛋白去乙酰化酶HD2C与BRM形成复合物以调控热胁迫响应。BRM还在其靶位点与组蛋白乙酰转移酶HAC1结合,在气孔发育过程中打开染色质并激活转录。在SAS亚复合物中,SYD ATP酶与组蛋白乙酰转移酶GCN5及其辅助亚基ADA2B相互作用,共同建立有利的染色质环境,以促进与花发育相关基因的转录。在MAS亚复合物中,SWI3B与HDA6结合,通过调节DNA甲基化、组蛋白修饰和核小体占据,共同抑制一部分转座子转录。 在拟南芥中,SWI/SNF对PRC2(多梳抑制复合体2)具有拮抗作用。PRC2会在许多发育相关基因上催化抑制性组蛋白修饰H3K27me3的沉积(图 3B)。例如,PRC2对花器官同源异型基因AG和AP3的抑制作用可被BRM和SYD逆转。BRM通过阻止PRC2在靶区域的结合来平衡H3K27me3水平。此外,BRM可被植物特异性的H3K27me3去甲基化酶REF6招募至特定DNA基序。而且,SOC1通过招募REF6和BRM来对抗PRC2在TFS1位点的功能。BRM和BCL7A/B也会抵消H3K27me3并促进染色质可及性,从而精细调控MIR156A/C的时间性表达,调节拟南芥的营养生长期相变。ATAC-seq显示,在brm和bcl7a bcl7b突变体中,MIR156A/C位点的染色质可及性水平显著降低。值得注意的是,近期研究在syd-5突变体中于数百个基因上同时观察到H3K27me3的升高与降低,表明SYD在特定位点上可能与PRC2表现为拮抗或协同作用。同样地,在哺乳动物中,有研究调和了BAF同时对抗并维持Polycomb介导抑制的双重角色。因此,SWI/SNF在H3K27me3调控中扮演复杂角色,有待进一步研究。 在CHD亚家族中,水稻CHD3蛋白CHR729已被报道可分别通过其染色结构域和PHD结构域与H3K4me2和H3K27me3相互作用。然而,在拟南芥中尚未发现PKL的染色结构域具备识别组蛋白修饰的能力,但该结构域对于PKL与PRC2之间的相互作用是必需的(图3B)。最新研究发现,PKL特异性定位于H3K27me3扩散区域,而非位于被H3K27me3沉默基因的成核位点,并且与PRC2发生物理关联。PKL的ATPase功能提高核小体密度,确保未修饰的核小体可被PRC2的催化活性所利用以促进H3K27me3的扩散,这对于长期稳定的Polycomb沉默记忆至关重要。MNase-Seq结果显示,在丧失PKL后,H3K27me3扩散区域的核小体密度下降,而成核区域则未受影响。因此,该研究表明,PKL介导的核小体压实是PRC2依赖的H3K27me3读取-写入过程中的关键步骤,凸显了一种建立并传播可变异染色质的染色质重塑机制。此外,PKL还与HDA6和HDA9结合以去除H3K27ac和H3K9ac,从而促进拟南芥中基因/转座子沉默(图3B)。相反,PKL与ATX1相互作用,介导在FT位点的H3K4me3沉积,导致PKL与ATX1在调控FT表达中对抗PRC2的作用。 在拟南芥的SWR1亚家族中,YAF9A(酵母YAF9 A的同源蛋白)可结合未修饰或乙酰化的组蛋白H3(图 3A),能够识别H3K4me3的AL蛋白与SWR1复合物相互作用,并且对于将SWR1招募到含有H3K4me3的基因以进行H2A.Z的沉积是必需的。值得注意的是,INO80 的NTD模块包含COMPASS-III H3K4甲基转移酶复合物,该复合物与NTD模块中的其他辅助亚基协同,促进H3K4me3的沉积和转录激活(图 3B)。此外,PIF4(光敏色素互作因子4)对INO80复合物的招募涉及其与ELF7、类COMPASS复合物以及转录延伸因子的相互作用,从而促进H3K4me3的积累和RNA聚合酶II的延伸。 DNA甲基化在生化上可分为从头(de novo)DNA甲基化和维持性DNA甲基化。植物利用siRNA(小干扰RNA)引导从头DNA甲基转移酶建立序列特异性的DNA甲基化,这一过程称为RdDM(RNA介导的DNA甲基化)。尽管由不同的通路调控,植物中的从头和维持性DNA甲基化均受染色质重塑因子的调控(图4)。其中,RAD54样染色质重塑因子CLSYs和DRD1促进RdDM通路中的从头DNA甲基化,而SNF2样成员DDM1与DNA甲基化的维持有关。
图4:染色质重塑介导DNA甲基化。 CLSY蛋白帮助Pol IV与染色质结合,从而促进24-nt siRNA的生物合成以引导位点特异性的DNA甲基化(图 4A)。不同的CLSY蛋白靶向不同的基因组位点,同时共同调控全基因组甲基化。在小孢子母细胞的保姆细胞中,CLSY3促进24 nt-siRNA的产生,进而调控精子中可遗传的DNA甲基化模式。DRD1与DMS3和RDM1相互作用,形成DDR复合体,该复合体与SUVH2/9互作并招募Pol V至特定基因组位点(图 4A)。随后,Pol V产生长非编码 RNA,并与装载了24 nt-siRNA的ARGONAUTE(AGO)效应复合体相互作用,促进DNA甲基转移酶DRM2的招募,从而建立从头DNA甲基化和染色质沉默。此外,SWR1样染色质重塑子CHR19以及RAD5/16样染色质重塑子CHR27和CHR28与SU(VAR)3-9样组蛋白甲基转移酶SUVR2形成复合物,从而在特定的RdDM靶位点促进DNA甲基化。 DDM1在维持DNA甲基化、转录沉默以及着丝粒周围异染色质中的转座子稳定性方面发挥关键作用(图 4A)。生化研究表明,其ATP依赖的染色质重塑能力有助于将包括MET1在内的DNA甲基转移酶靶向至富含组蛋白H1的异染色质区域。最新研究进一步揭示了 DDM1将与沉默相关的组蛋白变体H2A.W装配到异染色质中的能力。此外,DDM1促进将组蛋白变体H3.3替换为H3.1,而后者在ATXR5/6的作用下在赖氨酸27位点发生单甲基化,从而维持DNA甲基化和异染色质沉默。DDM1还与MET1以及HDA6协同作用,二者可直接与MET1相互作用以沉默着丝粒周围异染色质。 此外,已证实MAS亚复合体的亚基SWI3B可与IDN2发生物理互作。IDN2是RdDM通路组分,能够结合由Pol V产生的非编码RNA,并通过核小体定位介导转录沉默(图 4B)。另外,SWI/SNF复合物亚基SWI3B、SWI3和SWI3D与组蛋白甲基转移酶SUVH9以及MORC6发生互作。此外,CHD重塑因子PKL的突变会导致超过一半RdDM目标位点的DNA甲基化发生变化,提示PKL参与RdDM和转座子沉默(图 4B),尽管其具体的分子机制仍不清楚。有趣的是,SWR1的亚基MBD9被发现参与DNA去甲基化。MBD9含有溴结构域和PHD结构域,能够识别由IDM1(INCREASED DNA METHYLATION 1)沉积的组蛋白乙酰化标记(图 3A)。这种互作使SWR1复合体被招募至IDM1靶向的基因组位点,从而促进H2A.Z的嵌入。在某些基因组区域,H2A.Z与DNA甲基化标记共存,其中5-甲基胞嘧啶DNA糖基化酶ROS1可与H2A.Z发生物理互作,以介导DNA去甲基化和抗沉默(图 4B)。因此,SWI/SNF、CHD3(PKL)和SWR1染色质重塑复合体参与DNA甲基化动态的调控,表明核小体重塑在DNA甲基化与转录沉默中发挥多方面作用。然而,这些不同染色质重塑因子的分子机制,以及它们在DNA(去)甲基化过程中如何彼此协调其活性,仍有待进一步研究。 由于各家族的染色质重塑因子承担着特定功能,理解它们如何被招募到目标染色质至关重要。染色质重塑因子通常缺乏内在的DNA序列识别能力;相反,它们在基因组层面的定位高度依赖于转录因子。与此相对,重塑复合物对于在增强子区域建立可及的染色质结构以促进转录因子结合是必不可少的。研究表明,大多数转录因子通过位于相邻核小体之间、无核小体的连接DNA中的顺式基序来招募染色质重塑因子。值得注意的是,一类特殊的转录因子,被称为先锋转录因子,能够在闭合染色质中访问DNA靶位点,从而允许其他转录因子随后结合。本节综述总结了转录因子与染色质重塑因子的相互作用的现有认识及其在植物中的意义。 众多植物转录因子被认为可与SWI/SNF复合物相互作用(图 5A)。SWI/SNF复合物的 BAS和SAS亚型中的BRM和SYD亚基与参与花序发育的转录因子MP相互作用,并在花序发育的后续阶段与BP(一类I KNOX转录因子),协同作用。BRM、SYD和SWP73B可与花器官身份调控因子AG、SEP3、AP1和AP3共纯化。被认为是植物先锋转录因子的LFY可招募BRM和SYD以激活花命运。此外,已发现BRM可与GNC发生物理互作,并结合SOC1位点调控开花时间。bHLH在气孔发育中将SWI/SNF招募到其靶位点。最近一项研究表明,SA负责在花序中为大量与花发育相关的基因建立染色质可及性,从而促进AP1的结合,AP1是决定花器官身份的关键MADS转录因子。
图5:染色质重塑成分与转录因子之间的功能相互作用。 在细胞分裂素感知后,SWI/SNF复合物BAS亚型的BRM和SWI3C亚基会与与细胞分裂素相关的转录因子TCP4相互作用。BZR1,作为油菜素内酯(BR)信号通路中的核心转录因子,被证明可与SWI/SNF的BAS亚型相互作用,以推动由BR诱导的促生长基因的转录激活。在缺乏ABA的情况下,BRM和HDA6被MYB41转录因子招募,导致H3ac和H3K14ac水平降低,H3K27me3水平升高,并抑制MYB41的表达。BRM还通过与DELLAs和NF-YCs形成一个对GA敏感的模块,参与赤霉素(GA)介导的开花。与胁迫相关的转录因子也会与拟南芥SWI/SNF亚基发生相互作用。LFR,作为SWI/SNF复合物SAS和MAS亚型的一个亚基,可直接与ICE1相互作用;ICE1是参与抗冻胁迫的CBF基因的bHLH型转录激活因子。 近期研究显示,两个同源的反式因子VAL1和VAL2能够在全基因组范围内物理性地促进PKL向其靶基因的募集(图 5B)。PKL还与激素相关的转录因子相互作用;它与BZR1协同作用,抑制在细胞伸长相关基因上的H3K27me3沉积,并与CKH1协同调控一部分细胞分裂素响应基因。此外,PKL与LUX发生物理互作,后者可直接结合至调控区域并介导DOG1表达的昼夜节律调控。PKL还与RBR1结合,以抑制LBD16启动子的转录活性。PKL可直接与与光有关的转录因子PIF3和HY5相互作用,以促进暗形态发生。最后,CO在长日照条件结束时特异性地将PKL招募至FT位点,以促进FT的表达。 关于INO80亚家族,热形态发生调控因子PIF4可招募INO80复合体,在其靶位点介导温度诱导的H2A.Z去除(图 5C)。相应地,INO80与ELF7互作以调控H3.3的沉积,并且在高温条件下促进PIF4靶基因处H3.3的富集。另一种转录因子PIF7可结合其靶位点,并可能与INO80复合体的EEN亚基相互作用,在低R:FR(红光与远红光比)光照条件下去除H2A.Z。最新研究表明,EIN3与INO80协同作用,在温暖温度下促进H3K4me3的沉积并降低H3K27me3的水平。在辣椒中,SWC4与MADS转录因子AGL8协同,激活热耐受性以及与环境相关的防御反应。 迄今为止,除已发现可与ISWI重塑因子共同纯化的MADS转录因子外,尚无转录因子被证明能在植物中与ISWI复合物进行功能性协同。其潜在的转录因子互作网络仍有待阐明。 与其在动物系统中的角色一致,植物中的SWI/SNF染色质重塑ATP酶在维持多能性与促进分化转换方面发挥双重作用。然而,与动物系统中此类突变往往致死不同,拟南芥BRM 或SYD的单突变体仍然存活,但表现出多效性发育异常,包括生长缓慢、子叶分离受阻、顶端优势降低以及花器官形态发生缺陷。不过,同时缺失BRM和SYD这两种ATP酶会导致配子体和胚胎致死,揭示它们在生殖发育中的冗余作用。 SWI/SNF–AN3模块在发育中叶片从细胞增殖向分化过渡过程中起关键作用。BRM通过激活开花抑制因子SVP来延迟开花。在花序茎中,BRM调控KNAT2和KNAT6的表达以实现正常的轴向发育。在黑暗条件下,BRM与PIF1相互作用以抑制PORC并抑制叶绿素生物合成。BRM还影响种子性状,包括大小、产量、寿命和次生休眠。brm-3种子更大更重,并表现出增强的寿命和次生休眠,但初生休眠正常,因为BRM通过激活DOG1反义转录本负向调控这些性状。此外,BRM抑制ABI5,这解释了brm-3在萌发期间对ABA的高敏感性。最后,SWI3C通过与DELLA蛋白RGL2和RGL3相互作用参与GA信号通路,以促进GID1和GA3ox的表达,从而调节植物生长。 SAS ATPase蛋白SYD对于维持顶端分生组织至关重要。syd功能缺失突变体表现为矮化、生长迟缓、叶片极性缺陷以及SAM终止。SYD维持多能性基因WUS的表达,WUS对于干细胞维持和茎端分生组织的活性是必需的。SWI/SNF复合体中SAS和MAS亚复合体的一个亚基LFR可激活C类花器官身份基因AG,从而促进生殖器官的发育。SWI/SNF的MAS亚型中的MINU1/2也在分生组织维持和胚胎发生中发挥关键作用。minu1 minu2双突变导致SAM停止伴随WUS沉默,随后启动一个或多个新的分生组织,并频繁出现带化。SWI/SNF的MAS 亚复合体中特异亚基SWI3B已被证明可通过染色质构象调控调节生长素代谢酶基因IAMT1的表达,从而促进叶形态建成。有趣的是,近期研究表明SWI3B能在编码GA受体GID1的位点与LRR-RLK受体ERECTA相互作用,以促进GA介导的生长和发育,这与在人类中观察到的HER2(ERECTA 2 的同源蛋白)与BAF155之间的相互作用相呼应。 SWI/SNF复合物在非生物胁迫响应(包括高温、干旱和低温)中也发挥重要作用。高温和干旱是威胁植物生长与繁殖、从而影响农业与全球粮食安全的最大因素之一。揭示高温与干旱响应的精确分子机制,对于培育耐热、耐旱作物以应对全球粮食危机至关重要。与野生型相比,经热处理的brm、hd2c及brm hd2c突变体幼苗表现出减轻的生长迟滞,表明BAS亚复合物与组蛋白去乙酰化酶HD2C处于共同的遗传通路中,负向调控拟南芥的耐热性。然而,BRM可与热胁迫记忆激活因子FGT1相互作用,维持热响应基因的转录激活,从而促进热胁迫记忆,这表明其调控能力超越了与转录因子的合作关系。 已有研究表明,在无干旱胁迫或无干旱激素ABA的条件下,BRM可抑制包括ABI5、ABI3和MYB41在内的干旱响应基因。ABA处理会导致BRM蛋白下降并提ABI5的表达,而brm突变体表现出增强的耐旱性,提示BAS亚复合物在生长与耐旱之间发挥平衡作用。干旱可迅速诱导BAPID的积累,BAPID与BRM相互作用,破坏BRM与转录因子Di19的相互作用,从而释放Di19激活PR(病程相关,pathogenesis-related)基因并增强植物耐旱性。SWI3C作为BAS特异亚基,与低温依赖的植物生长和发育调控有关。swi3c突变体的发育缺陷,包括早期阶段的胚胎停滞和根伸长缺陷,在低温条件下可部分逆转。此外,独脚金内酯信号需要SYD以诱导转录重编程并改变染色质可及性,强调SAS是独脚金内酯信号通路中的关键组成部分。 植物SWI/SNF复合体与病原体应答有关。在brm或bcl7a bcl7b突变体中,与细菌和真菌应答相关基因的表达和染色质可及性出现失调。SWP73A作为SWI/SNF复合体的BAS特异性亚基,在非致病条件下抑制核苷酸结合富亮氨酸重复免疫受体以避免自体免疫。感染后,细菌诱导的小RNA靶向并沉默SWP73A,从而激活NLR并触发强烈的免疫反应。syd突变体对细菌病原体丁香假单胞菌表现出增强的抗性,并上调NLR基因SNC1,这表明SAS在正常情况下抑制SNC1以防止有害的自体免疫。然而,在灰葡萄孢真菌感染期间,SYD促进茉莉酸和乙烯响应基因的表达。因此,SWI/SNF染色质重塑复合体可能在非胁迫条件下抑制非生物和生物胁迫应答通路,以平衡生长与抗性之间的权衡,这一点仍有待进一步研究。 ISWI复合体的CHR11和CHR17亚基在分生组织细胞、侧生器官原基和生殖器官中高水平表达。CHR11-RNAi植株表现为植株高度和细胞大小降低,但细胞数量不变,表明CHR11参与细胞膨大。chr11 chr17的花序叶背含有斑块状的鹅卵石形细胞,并具有波状角质条纹,类似于野生型花瓣和萼片背面的结构。分子分析表明,CHR11和CHR17在叶片中抑制营养生长向生殖生长转变的激活因子SEP1和SEP3的表达。这些突变植株在长日照和短日照条件下均显著早花,这是由于FLC下调以及FUL、SOC1和FT上调所致。此外,chr11 chr17突变的花朵体积较小,不能张开且不育,萼片异常卷曲并延长,花瓣和雄蕊被针状结构取代,心皮不能完全融合。在非致病条件下,CHR11/17和RLTs还会共同抑制防御基因的表达。 PKL最初是在表现出“腌黄瓜根(pickle root)”表型的突变体中被鉴定出来的,在这些植株中,幼苗的主根出现了异位的胚性特征。后续研究表明,PKL调控多种发育过程,包括根分生组织活性,以及若干关键的发育转变,如种子到幼苗的转变、幼年期到成株期的相变和花诱导。因此,pkl突变体在多个器官中表现出发育缺陷,包括根分生组织活性降低、半矮秆、小而卷曲的叶片、开花延迟、短角果以及增大的种子。PKL还参与多种植物激素信号通路,并调控对非生物胁迫的响应。具体而言,PKL与SOLITARY-ROOT(SLR)/IAA14协同作用,抑制生长素响应转录因子ARF7和ARF9,从而负向调控侧根形成;并与CKH1共同抑制细胞分裂素响应基因,进而抑制细胞分裂和叶绿体发育。PKL还在赤霉素(GA)诱导且受DELLA 抑制的发育过程中发挥关键作用,并整合黑暗、油菜素内酯和GA信号通路以控制下胚轴伸长。此外,PKL通过CBF3介导的通路影响低温胁迫响应,同时作为抗旱基因AFL1的关键抑制因子,调控植物的抗旱性。 拟南芥的INO80和SWR1染色质重塑复合物对植物发育、开花阶段转变、光形态建成以及DNA修复至关重要。INO80 ATP酶通过调控在关键开花抑制因子(如FLC和MAF4/5)上的H2A.Z移除,降低其表达并促进开花。相反,SWR1复合物的PIE1、ARP6和SWC6亚基通过促进FLC表达来抑制开花。ARP6 还通过激活BR和生长素信号通路调控花序结构。phyB与SWC6/ARP6的互作在红光下抑制生长素生物合成,从而抑制下胚轴伸长。SWR1介导的表观遗传调控有助于随年龄增长增强miR396的表达,并导致不同叶片间miR396的差异性积累,从而影响叶片发育和阶段转换。SWR1还通过上调 WRKY33及其下游靶基因YDD,在由ERECTA信号介导的植物对真菌灰霉菌的防御中发挥作用,这两者对该病原物的抗性均至关重要。 INO80也与非生物胁迫响应相关。INO80复合体通过介导温度诱导的H2A.Z在热响应和生长素相关基因上的剔除,促进热形态建成;并通过激活特定的双价基因来调控暖适温响应,其中乙烯信号通路发挥统筹作用。INO80还参与修复DNA双链断裂;在标准条件下,ino80突变体表现出同源重组减少,但在基因毒性胁迫后同源重组和双链断裂增加。INO80复合体的保守亚基ARP5的突变会导致对DNA损伤试剂的高敏感性,并上调DNA修复基因RAD51 和RAD54。 总之,包括SWI/SNF、CHD、ISWI、INO80和SWR1在内的染色质重塑复合体,在植物生长与胁迫响应中充当全面的主效调控者。理解其运行机制不仅将加深我们对植物发育与胁迫适应的基础认识,也将为培育产量稳定的抗逆作物提供关键的理论框架。 染色质重塑在作物生长及其对环境的适应中发挥关键作用。随着近期研究不断深化我们对作物中染色质重塑因子的认识,本节将总结主要作物物种中的关键染色质重塑因子。 水稻基因组编码了40个SNF2家族蛋白。其中,三种SWI/SNF亚家族的重塑因子OsBRM(CHR707)、OsSYD(CHR720)和CHR719缺乏保守的HSA结构域,且仅CHR707含有溴结构域。与拟南芥相似,这些蛋白在水稻中组织成三个亚复合体。OsSYD和OsBRM对水稻胚胎发育至关重要,但其缺失并不影响胚乳发育。OsSYD与RFL相互作用,调控OSH基因的表达,影响胚胎发生过程中芽的建立。在玉米中,ZmCHB101是拟南芥SWI/SNF复合体SWI3D亚基的同源蛋白,通过调控硝酸盐转运体基因ZmNRT2.1和ZmNRT2.2的表达,在低硝酸盐供应条件下调节根系生长和生物量积累。在大豆中,已预测到编码SWI/SNF亚基的39个基因,其中GmLFR1(叶与花相关1)作为干旱耐受性的负调控因子。 水稻包含两个ISWI亚家族ATP酶:OsCHR11(CHR727)和 OsCHR17(CHR728)。已有报道表明,OsCHR11负向调控水稻对细菌性叶枯病 Xoo(Xanthomonas oryzae pv. oryzae)的抗性,并在病原侵染过程中影响核小体占据与基因表达。OsCHR11还通过增强染色质可及性并促进基因表达变化,正向调控水稻的耐冷性。除水稻外,其他作物中的ISWI成员尚未被表征。 在水稻中,已鉴定出多种CHD蛋白。水稻CHR705属于CHD1亚家族,而CHR729、CHR702 和CHR703为Mi-2/CHD3同源蛋白。水稻CHR729与拟南芥AtPKR1关系密切,对CHR729的突变会导致种子萌发延迟、植株矮化、分蘖减少以及根系生长受抑。CHR729还在叶背面(上表皮侧)叶肉细胞的早期叶绿体发育中发挥重要作用。作为一种具双重作用的染色质调控因子,CHR729通过识别并调控受抑或组织特异性基因上的H3K4和H3K27甲基化来调节植物发育。这些发现表明,拟南芥和水稻中的CHD重塑子在功能上具有保守性,因为二者均通过调控H3K4me3和H3K27me3标记来调节植物发育。水稻中CHR702(拟南芥PKL的同源基因)发生突变并不会引起可观察到的表型变化。然而,小麦中丧失PKL蛋白会导致种子萌发延迟和收获前萌发。 在水稻中,OsINO80(CHR732)与拟南芥INO80具有58%的序列同一性,而CHR709在其N端与拟南芥PIE1同源,包含对蛋白功能至关重要的HSA结构域和解旋酶区域。OsINO80 参与调控赤霉素(GA)生物合成,并对水稻生长发育的多个方面至关重要。生化实验表明,OsINO80 特异性地与组蛋白变体H2A.Z相互作用,并且在OsINO80下调突变体中,GA生物合成基因CPS1和GA3ox2上的H2A.Z富集降低。OsINO80还促进H3K27me3的建立,促进H3K9me2的沉积,并维持转座子沉默。OsYAF9和OsSWC4作为水稻SWR1与NuA4复合体的两个共享亚基,促进GA生物合成基因处H2A.Z的沉积和H4的乙酰化,从而增强水稻节间伸长。 生物信息学分析已在多种作物物种中鉴定出大量染色质重塑因子。例如,LF2,一种 SMARCAL1亚家族的重塑子,被鉴定为水稻小穗发育的关键调控因子;其突变会导致侧生小花/小穗的异位发生以及不育外稃(sterile lemma)身份的改变。然而,大多数作物中的染色质重塑因子的功能仍不清楚,亟需进一步的分析与研究。 尽管在绘制植物染色质重塑复合体的亚基组成方面已取得显著进展,但许多亚基的功能角色仍然知之甚少。正如上文所述,植物染色质重塑复合体与其动物对应物相比,具有独特的亚基组成,提示它们已进化出不同的功能与结构特性。迄今为止,尚无植物染色质重塑复合体通过冷冻电子显微镜获得结构解析,这为我们全面理解其在染色质上的作用与机制带来了另一项重大障碍。未来研究中破译其独特的结构特征,将对拓展我们对真核生物染色质重塑的认识至关重要。鉴于大多数染色质重塑组分在绿色谱系内外具有进化保守性,在作物中研究染色质重塑网络与应对粮食安全和生物多样性保护高度相关。尽管近期研究已对多种染色质重塑复合体的组成与功能提供了全面认识,但仍有若干关键问题尚未解决。 在拟南芥中,已鉴定出41种SNF2家族的重塑因子,但当前研究主要集中于5个主要亚家族:SWI/SNF、ISWI、CHD、INO80和SWR1。尚未充分研究的染色质重塑因子很可能在调控植物的生长、发育和环境响应方面发挥关键作用。因此,有必要对它们在植物中的功能与组成进行系统性研究。此外,不同染色质重塑复合体在协调基因表达以及对发育与环境信号作出响应方面的相互作用仍在很大程度上未知,这构成了植物染色质生物学中的一个关键知识空白。 植物由于固定不动,不断暴露在各种环境因子和内源过程所致的DNA损伤与基因毒性压力之下。为在频繁且极端的环境胁迫中生存,植物演化出高效而有力的防御机制,以修复基因组损伤并维持基因组稳定性。染色质动态通过对环境和发育信号的精妙整合,在调控植物细胞周期进程中发挥关键作用。深入研究DNA修复与染色质重塑之间的相互作用,对于提升植物韧性与农业生产力至关重要。 基于本期分享的综述,我们可以看出植物领域的染色质重塑还有很多尚未解决的问题。已有的研究表明染色质重塑对植物的影响深远,它通过精确调控基因的表达,帮助植物在生长发育和环境适应中做出灵活反应。研究染色质重塑的技术有ATAC-seq、ChIP-seq、CUT&Tag和RNA-seq等,爱基百客在这些方向有丰富的经验,如有相关技术咨询,欢迎联系我们~
项目咨询 { 往 期 精 彩 回 顾 } 精选合集,欢迎收藏哟!
|








