NEWS
新闻资讯
|
吸烟如何“改写”你的DNA?新研究揭示表观遗传时钟与肺癌风险的秘密! “抽了半辈子烟,为什么有人得肺癌,有人却没事?” 这个问题的答案可能藏在你的DNA里——但不是基因序列本身,而是表观遗传的“隐形标记”。最新研究发现,吸烟会在DNA甲基化上留下痕迹,这些痕迹不仅能加速生物衰老,还可能是预测肺癌风险的“生物时钟”! 今天,我们就来聊聊这项发表在《BMC Medicine》的重磅研究,看看科学家如何通过“表观遗传时钟”破解吸烟与肺癌的关联! 我们都知道吸烟有害健康,但它的危害远不止于肺部炎症或焦油堆积。烟草中的化学物质会通过表观遗传机制(比如DNA甲基化)改变基因的表达方式——就像给DNA戴上一顶“隐形帽子”,默默影响细胞功能,甚至加速衰老过程。 这项研究分析了来自澳大利亚、挪威、意大利和瑞典的1480名吸烟者(包括514名肺癌患者和966名健康对照),追踪了他们数年甚至十余年的健康数据。 ![]() 表1.研究纳入参与者的基线特征 研究发现:
⭐关键点:表观遗传变化是可逆的(比如戒烟后部分甲基化标记会恢复),但长期吸烟积累的损伤可能不可逆。 科学家通过四种“生物时钟”评估参与者的表观遗传年龄:
![]() 图1.四种“生物时钟”评估参与者的表观遗传年龄 研究发现:
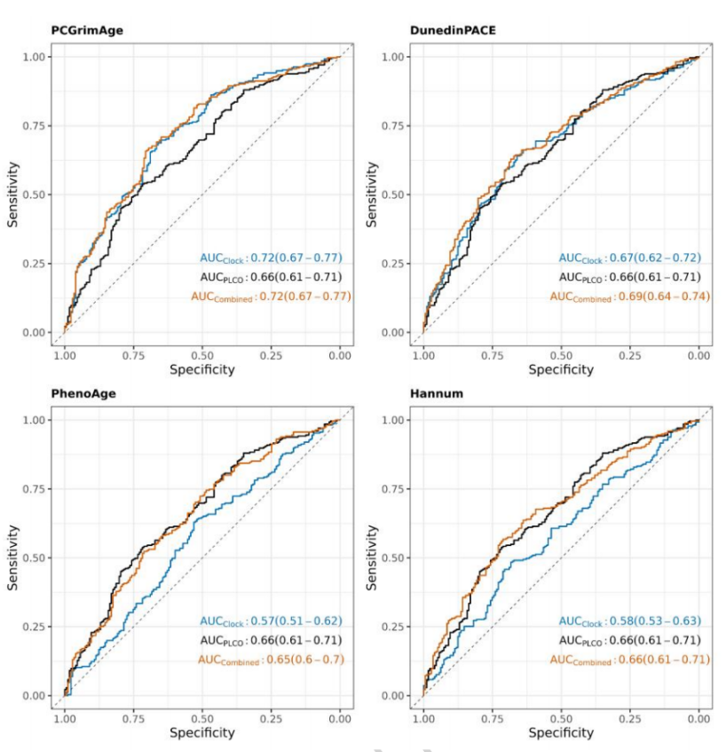
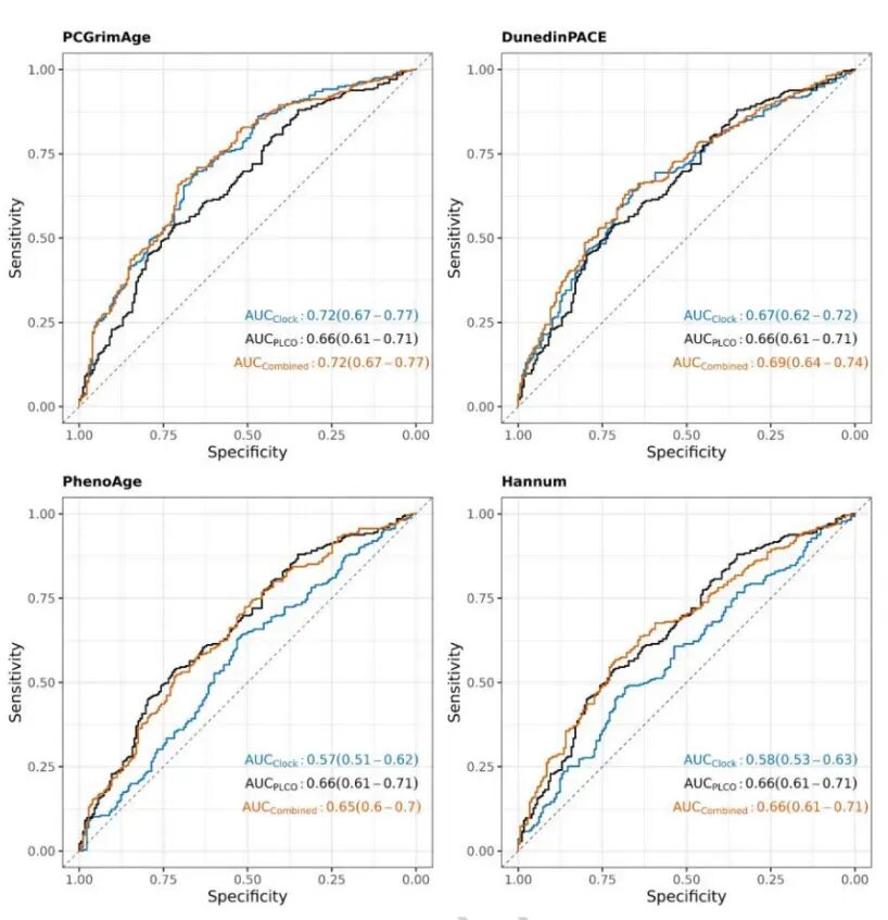
⭐与传统模型对比:目前临床常用的PLCOm2012肺癌风险模型(基于年龄、吸烟史等自报数据)的预测准确率(AUC=0.66),而PCGrimAge单独使用可达0.72,甚至结合后效果更优(AUC=0.72)! ![]() 图2:吸烟、表观遗传与肺癌风险的关联示意图
每一根烟,都在你的基因上留下一个微小但真实的印记。这些印记不会说谎,它们默默记录着伤害,计算着风险。当传统问卷问你"抽了多少年"时,表观遗传时钟已经在分子层面给出了答案。或许,这就是科学给我们最深刻的警示:有些伤害,看不见,却最致命。 *本文基于已发表的科学研究进行科普解读,不构成任何医疗建议。*
项目咨询 了 解 更 多 { 往 期 精 彩 回 顾 }
|





